As some of you know, I recently posted about Microsoft Equation Editor (here) and the way it’s been totally upgraded. I’ve been using Microsoft’s Equation Editor more and more, and I’ve learned a lot of new things, but I also still have questions (for instance, how do you force it to do display or in-line mode?).
Before, when I had questions, it seemed like Microsoft had no answers. I searched their website and found minimal help. I found help from third-parties, like this wonderful cheat-sheet which I still highly recommend. But today when I went searching for some more answers, I found this page on Microsoft’s website, which I swear wasn’t online two months ago.
The most interesting thing is that they mention their use of Unicode Nearly Plain-text Encoding of Mathematics and they claim that the Microsoft Equation editor adheres to the standards set forth in Unicode Technical Note 28. I’ve now completely read this Unicode guide and it was very helpful.
I think I can finally use the new Microsoft Equation Editor without ever leaving the keyboard.
In particular, here are a few things I learned how to do. Hopefully this will save you the time of having to read through it all yourself:
Tips & Tricks with the new Microsoft Equation Editor
To start with, here are a handful of things I didn’t know how to do without visiting the toolbar. Now I can do them just by typing.
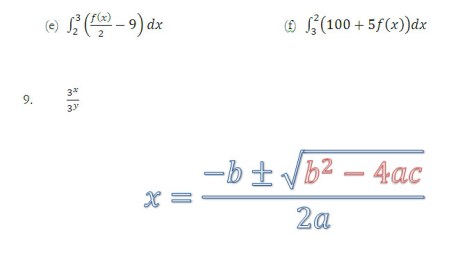
Boxed formula: \rect(a/b) produces

Matrix: (\matrix(a&b@&c&d)) produces

Radicals: \sqrt(5&a^2) produces

Equation arrays are something I found hard to do in Microsoft Equation Editor. In their documentation, I learned you can type “Shift+Enter” to keep the next line as part of the same equation array. But here’s the more finely-grained method:
\eqarray(x+1&=2@1+2+3+y&=z@3/x&=6)
resolves to this:

A more complicated example of alignment, and a description of how it is interpreted comes from the Unicode page:
3.19 Equation Arrays
To align one equation relative to another vertically, one can use an equation array, such as
which has the linear format █(10&x+&3&y=2@3&x+&13&y=4), where █ is U+2588. Here the meaning of the ampersands alternate between align and spacer, with an implied spacer at the start of the line. So every odd & is an alignment point and every even & is a place where space may be added to align the equations. This convention is used in AmSTeX.
Instead of █, one can type \eqarray in Microsoft office. Also, to include a numbered equation is simple: E=mc^2#(30).
Another nice thing I learned is how to quickly include text in your equations, without having to visit the toolbar (in retrospect, it’s somewhat obvious):
“rate”=”distance”/”time”
resolves to

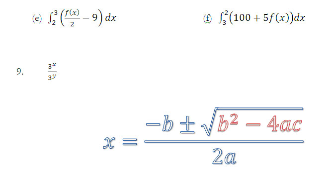
Like I said, one unresolved issue I still have is how to force math to be displayed in ‘in-line’ or ‘display’ mode. This is very easy in
with the use of $ or $$. Section 3.20 of the Unicode notes isn’t very satisfying:
Note that although there’s no way to specify display versus inline modes (TeX ‘s $ versus $$), a useful convention for systems that mark math zones is that a paragraph a paragraph consisting of a math zone is in display mode. If any part of the paragraph isn’t in a math zone including a possible terminating period, then inline rendering is used.
So there you have it–more of what I’ve learned about the Microsoft Equation Editor. Please do share if you have other useful information.